Bảng tra sức chịu tải của đất nền Chuẩn & Chính xác nhất hiện nay
Là một trong những thông số cực kì quan trọng trong xây dựng kĩ thuật công trình, sức chịu tải của đất nền được các kiến trúc sư tính toán và xem xét hết sức kĩ lưỡng khi bắt đầu thi công công trình. Vậy để đảm bảo được chất lượng của các công trình xây dựng, sức chịu tải của đất nên bao nhiêu là hợp lí. Hãy cùng chúng tôi tìm hiểu qua bài viết dưới đây nhé!
Khái niệm của sự chịu tải của đất nền
Hiểu một cách nôm na sức chịu tải của đất nền chính là độ giới hạn về tải trọng mà đất nền có thể chịu đựng được. Terzaghi đã xác định được sức chịu tải trên đất nên dựa vào cơ sở của lý thuyết cân bằng giới hạn điểm ngay trên môi trường đất.
Có thể nói rằng đất nền là nơi mọi công trình đặt nặng, đè nén áp lực lên mặt bằng đất. Bởi thế cần xác định được sức chịu tải để đảm bảo được sự vững chắc và kiên cố cho mọi công trình

Ở một số công trình do không có sự tính toán một cách cẩn trọng sức chịu tải của đất nền nên sau một thời gian sử dụng các trường hợp xảy ra sụt lún nghiêng bổ là rất dễ xảy ra gây nguy hiểm cho người sử dụng. Chính vì lí do này mà trong bất kể công trình nào, các kiến trúc sư đều phải tính toán một cách tỉ mỉ, cẩn trọng thông số kĩ thuật này.
Bảng tra sức chịu tải của đất nền
Bảng tra sức chịu tải đất nền là cơ sở để làm việc và tính toán được khả năng chịu đựng áp lực của đất nền. Dựa trên công thức tính toán trên cùng những tác động của yếu tố khác, dưới đây là bảng tra sức chịu tải của đất nền chuẩn nhất theo Terzaghi.

Nc, Nq, Nγ: hệ số của sức chịu tải phụ thuộc vào góc ma sát trên φ của nền đất
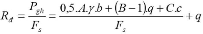
Công thức tính sức chịu tải của đất nền chuẩn nhất
Với giả thiết nền đất bằng phẳng, đồng nhất, ổn định và đáy móng phẳng. Sức chịu tải tính toán của nền đất có thể xác định bằng công thức giải tích:

Trong đó:
- Rđ: Sức chịu tải tính toán của nền đất
- Pgh: Sức chịu tải giới hạn – là cường độ tải trọng lớn nhất tại đáy móng mà tại đó nền đất bị phá hoại
- Fs: Hệ số an toàn (lấy Fs = 2 – 3). Có 2 thông số để lựa chọn. Một là theo cấp và loại công trình. Hai là loại nền đất, đất cát Fs = 3, đất sét Fs = 2.
- b: Với móng băng lấy bằng bề rộng móng. Với móng đơn, móng bè lấy bằng kích thước bé nhất của móng. Với móng tròn là đường kính móng.
- γ: Trọng lượng riêng của lớp đất dưới đáy móng.
- c: Lực dính của lớp đất dưới đáy móng.
- q: ứng suất bản thân dưới đáy móng (trọng lượng của các lớp đất phía trên đáy móng).
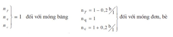
Các hệ số:
- A = Nγ.nγ.mγ.iγ
- B = Nq.nq.mq.iq
- C = Nc.nc.mc.ic
- Nc, Nq, Nγ: hệ số sức chịu tải phụ thuộc góc ma sát trong φ của nền đất
- nc, nq, nγ: hệ số hiệu chỉnh hình dạng móng

- mc, mq, mγ: hệ số hiệu chỉnh mặt dốc của bề mặt đất hoặc lớp đất phân lớp
- ic, iq, iγ: hệ số hiệu chỉnh độ lệch của tải trọng
- trong phạm vi bài viết với giả thiết nền đất bằng phẳng, đồng nhất, ổn định xin phép lấy mc = mγ = mq = ic = iγ = iq = 1.
Dựa vào công thức chuẩn trên đây các kiến trúc sư có thể tính toán được chính xác sức tải trọng của đất nền. tìm ra áp lực giới hạn để đảm bảo công trình được thi công an toàn tránh xảy ra những nguy hiểm đáng tiếc.
Việc kiểm tra sức chịu tải của đất nền trong suốt quá trình thi công công trình luôn là công việc mà các kĩ sư xây dựng phải thường xuyên chú ý. Bởi một khi để lỡ một sai sót dù chỉ là rất nhỏ cũng có thể khiến cho toàn bộ công trình mắc một khuyết điểm rất lớn.
Khả năng chịu lực của từng loại đất là khác nhau. Chính vì thế mà khi tiến hành tính toán đòi hỏi phải xác định được loại đất nào với độ chịu lực như thế nào để có thể hợp lí và chính xác nhất. Dưới đây có thể kể đến một số sức chịu lực của một số các loại đất sau

Những yếu tố ảnh hưởng tới sức chịu tải của đất nền
Có rất nhiều yếu tố tác động ảnh hưởng tới sức chịu tải của đất nền. Tuy nhiên yếu tố tác động lớn nhất đến sức chịu tải của đất nền chính là mực nước ngầm.
Nước ngầm xuất hiện trong lòng đất ở phía dưới đất nền vậy nên khi xây dựng bề mặt đất nền cho cồn trình cần đảm bảo được mực nước ngầm không ảnh hưởng đến sức chịu tải của đất nền, tránh tình trạng sụt lún khi qua thời gian sử dụng.
Thông thường sẽ có 3 trường hợp có thể xảy ra đối với tác động của nước ngầm với sức chịu tải của đất nền như sau:
- Đất nền không bị ảnh hưởng bởi mực nước ngầm: Trọng lượng riêng của các lớp đất được giữ nguyên
- Mức nước ngầm cao hơn hoặc bằng so với mặt đáy móng: Trọng lượng riêng của phần đất thường nằm ở phần bên dưới mực nước ngầm sẽ được thay thế bằng trọng lượng đẩy nổi: γđn = (γ – 10) KN/m3
Mực nước ngầm nằm ở dưới đấy móng: Trọng lượng riêng của phần đất nằm dưới mực nước ngầm sẽ thay thế bằng trọng lượng đẩy nổi.
Có thể bạn quan tâm:

Bên cạnh mực nước ngầm ảnh hưởng đến sức chịu tải của đất nền một số các yếu tố khác cũng có thể gây tác động đến sức chịu tải như : bề mặt công trình, hệ thống móng. Hơn thế nữa hai yếu tố ảnh hưởng lớn đến sức chịu tải của nền là độ lớn của biến dạng và sức chống cắt của của lớp đất bên dưới.

Khi lớp đất bên dưới quá yếu thì khi tính toán SCT của nền có thể coi như móng được đặt lên lớp đất bên dưới mà không cần xem xét đến ảnh hưởng của lớp đất bên trên. Khi tỉ số H/B >1 thì có thể coi lớp đất bên dưới không còn ảnh hưởng đến sức chịu đựng của nền.
Nền móng luôn là một trong những yếu tố quan trọng nhất trong kết cấu công trình. Phải xây dựng đươc một nền móng vững chãi thì công trình mới có thể đảm bảo được sự bền vững và lâu dài. Bởi thế việc tính toán sức chịu tải của đất nền luôn được chú trọng một cách thật cẩn thận để có thể tạo nên những công trình thế kỉ đẹp nhất.
Trên đây là những thông tin về bảng tra sức chịu tải của đất nền. Hi vọng bài viết của chúng tôi đã giúp cho bạn hiểu rõ hơn về sức chịu tải của đất nền để áp dụng một cách chính xác trong quá trình xây dựng. Chúc các bạn thành công!