Độ lệch chuẩn là gì? Ý nghĩa và công thức tính độ lệch chuẩn
Độ lệch chuẩn là gì? Các khái niệm và công thức tính toán
Hiểu đúng về độ lệch chuẩn
Trong Thống kê mô tả, độ lệch chuẩn được sử dụng để đo độ phân tán của một hoặc nhiều tập dữ liệu.
Người ta sẽ đo phương sai của độ phân tán dữ liệu bằng cách xác định độ lệch của từng điểm dữ liệu so với giá trị trung bình, sau đó lấy căn bậc hai của phương sai làm độ lệch chuẩn. Các điểm dữ liệu có độ lệch chuẩn càng cao càng xa giá trị trung bình. Nói cách khác, dữ liệu càng trải rộng, độ lệch chuẩn càng cao.
Độ lệch chuẩn, nếu được vẽ biểu đồ, sẽ có dạng một đường cong với đỉnh cao nhất ở giữa và đối xứng ở hai bên. Trên biểu đồ, giá trị trung bình sẽ được hiển thị ở trung tâm và mỗi đoạn ở hai bên thể hiện một độ lệch chuẩn so với giá trị trung bình đó.
Trong tài chính, độ lệch chuẩn được sử dụng như một thước đo thống kê giúp làm rõ sự biến động của một khoản đầu tư bằng cách đo lường tỷ suất sinh lợi hàng năm của khoản đầu tư đó. Người ta cũng sử dụng độ lệch chuẩn để tính toán sự biến động của tỷ giá hối đoái chứng khoán.
Độ lệch chuẩn càng lớn thì phương sai giữa giá cổ phiếu tại một thời điểm và giá trị trung bình của nó càng lớn. Nói cách khác, phạm vi giá của cổ phiếu phụ thuộc vào độ lệch chuẩn.
Cổ phiếu biến động có độ lệch chuẩn cao nhất, trong khi giá trị của cổ phiếu blue-chip ổn định và nhìn chung có độ lệch chuẩn tương đối thấp.

Độ lệch chuẩn được tính như thế nào?
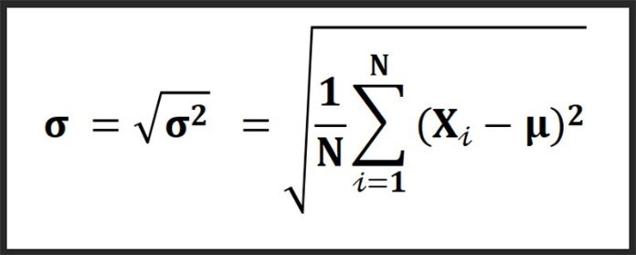
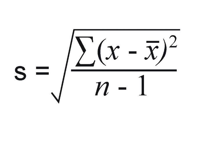
Công thức tính độ lệch chuẩn là gì
Công thức tính độ lệch chuẩn được minh họa trong hình ảnh sau: Công thức tính độ lệch chuẩn
- Đầu tiên cộng tất cả các điểm dữ liệu và chia đều cho số điểm dữ liệu để tính giá trị trung bình.
- Sau đó tính phương sai cho mỗi điểm dữ liệu bằng cách trừ giá trị trung bình của điểm dữ liệu đó ở bước trước. Tiếp theo, tổng của tất cả các phương sai sau mỗi phương sai được bình phương. Chia tổng đã tính cho n - 1 với n là số điểm dữ liệu.
- Cuối cùng, lấy căn bậc hai của kết quả phép chia vừa tìm được ở bước trước, ta sẽ tính được độ lệch chuẩn.

Ví dụ
Độ lệch chuẩn của tệp dữ liệu bao gồm 9 điểm dữ liệu sau: {12, 15, 17, 20, 30, 31, 43, 44, 54}
- Bước 1: Tính tổng các điểm dữ liệu 12 + 15 + 17 + 20 + 30 + 31 + 43 + 44 + 54 = 266
- Bước 2: Tính bình phương của tổng trên 266 ^ 2 = 70756 +
- Bước 3: Chia kết quả cho tổng số điểm dữ liệu 70756/9 = 7861,777
- Bước 4: Bình phương giá trị của mỗi điểm dữ liệu, sau đó cộng 12 ^ 2 + 1562 + 17 ^ 2 + 20 ^ 2 + 30 ^ 2 + 31 ^ 2 + 43 ^ 2 + 44 ^ 2 + 54 ^ 2 = 9620
- Bước 5: Lấy kết quả ở bước 3 trừ kết quả ở bước 3 9620 - 7861,777 = 1758,223
- Bước 6: Chia kết quả ở bước 5 cho n - 1, với n là tổng số điểm dữ liệu 1758, 223/8 = 219,778
- Bước 7: Dựa vào kết quả ở bước 6 để tính độ lệch chuẩn (219,778) = 14,825

Tính độ lệch chuẩn trong Excel
Excel nổi tiếng với các hàm tính toán giúp bạn tính toán nhanh một giá trị mà không cần phải tính toán thủ công hay ghi nhớ các công thức phức tạp.
Trong số các hàm tính toán được sử dụng trong Excel, có một hàm được sử dụng khi tính độ lệch chuẩn, đó là hàm STDEV. Tính độ lệch chuẩn trong Excel bằng hàm STDEV Cú pháp hàm STDEV như sau: = STDEV (Number1, [Number2], ...)
Trong công thức trên, Số 1 là bắt buộc và Số 2 có thể được nhập hoặc không.

Sai số tiêu chuẩn là gì?
Độ lệch chuẩn được sử dụng rộng rãi trong thống kê và phân tích dữ liệu. Nó chỉ ra mức độ lan truyền của dữ liệu.
Thống kê cho thấy khoảng 95% giá trị của các điểm dữ liệu sẽ nằm trong khoảng 2 độ lệch chuẩn của giá trị trung bình. Độ lệch chuẩn đề cập đến một giá trị có thể áp dụng cao được gọi là sai số chuẩn.
Sai số chuẩn được hiểu là độ lệch chuẩn gần đúng của một hoặc nhiều điểm giá trị. Người ta sử dụng độ lệch chuẩn để đo độ chính xác của một mẫu thống kê đại diện của một tổng thể. Sai số chuẩn được tính bằng cách chia độ lệch chuẩn cho căn bậc hai của số cỡ mẫu.
Trong nhiều trường hợp, bạn rất dễ nhầm lẫn giữa sai số chuẩn với độ lệch chuẩn nếu không cẩn thận, vì cả sai số chuẩn và độ lệch chuẩn đều là thước đo độ lan truyền của dữ liệu. Nhìn chung, hai khái niệm này gần như tương tự nhau. Sự khác biệt duy nhất là Của bạn sẽ nhỏ hơn.

Độ lệch chuẩn khác với sai số chuẩn như thế nào?
Độ lệch chuẩn được sử dụng để đo độ phân tán của một tập dữ liệu. Nhìn vào biểu đồ của độ lệch chuẩn, chúng ta có được ý tưởng về số lượng biến thể chuẩn và mức độ lan truyền của dữ liệu so với giá trị trung bình.
Sai số chuẩn được xác định dựa trên độ lệch chuẩn và kích thước của mẫu thống kê. Sai số chuẩn thể hiện độ chính xác của một mẫu thống kê so với dữ liệu thực tế.
Trong khi độ lệch chuẩn được tính bằng cách khai báo căn bậc hai của phương sai, thì sai số chuẩn được tính bằng cách chia độ lệch chuẩn cho căn bậc hai của số lượng quan sát trong tập dữ liệu.
Tóm lại, khi nhìn vào độ lệch chuẩn, chúng ta có ý tưởng về sự biến thiên của các điểm dữ liệu trong tập dữ liệu, trong khi nhìn vào sai số chuẩn, chúng ta có được ý tưởng về độ chính xác của ước tính so với thực tế.
Sai số chuẩn cho biết độ chính xác và độ tin cậy của một ước tính. Bên cạnh đó, việc tăng kích thước của mẫu quan sát hoặc phân tích sẽ làm giảm sai số chuẩn, trong khi độ lệch chuẩn không giảm hay tăng mà chỉ dễ tính hơn.

Kết luận
Như vậy, qua những thông tin được tổng hợp và chia sẻ trong bài viết, bạn đã hiểu được độ lệch chuẩn là gì, sai số chuẩn là gì và mỗi giá trị trên đại diện cho điều gì.
Độ lệch chuẩn được sử dụng rất phổ biến để kiểm soát mức độ liên quan của các điểm dữ liệu phân tán so với giá trị trung bình của một tập dữ liệu. Sai số chuẩn hóa chủ yếu được sử dụng để đánh giá độ chính xác và độ tin cậy của ước tính. Sai số tiêu chuẩn càng nhỏ thì độ chính xác của ước lượng càng cao. Bạn có thể truy cập website chúng tôi để biết thêm nhiều thông tin hữu ích hơn.